National and Subnational estimates

Global summary

Global summary

Identifying changes in the reproduction number, rate of spread, and doubling time during the course of the COVID-19 outbreak whilst accounting for potential biases due to delays in case reporting both nationally and subnationally. These results are impacted by changes in testing effort, increases and decreases in testing effort will increase and decrease reproduction number estimates respectively.

National and Subnational estimates for Vietnam

Subnational estimates
Asia
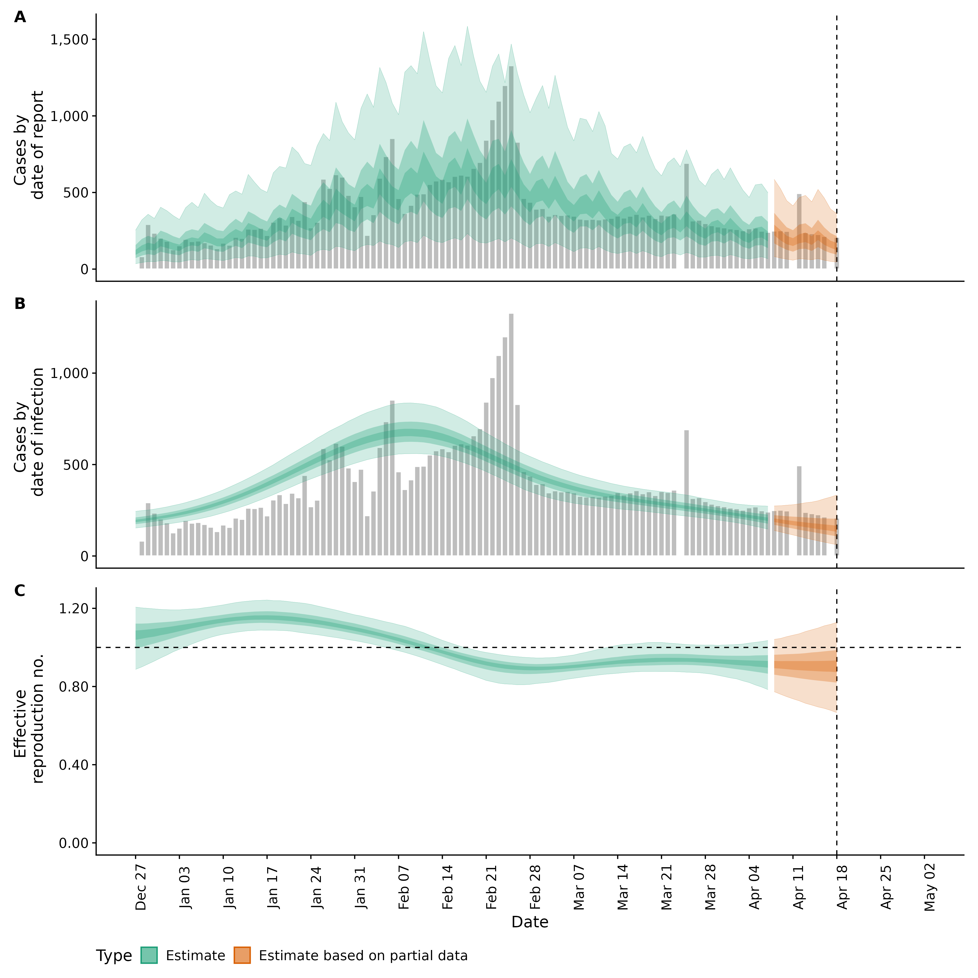
Vietnam

Identifying changes in the reproduction number, rate of spread, and doubling time during the course of the COVID-19 outbreak whilst accounting for potential biases due to delays in case reporting both nationally and subnationally in Vietnam. These results are impacted by changes in testing effort, increases and decreases in testing effort will increase and decrease reproduction number estimates respectively.

Estimates for Angiang (Vietnam)

Vietnam

Identifying changes in the reproduction number, rate of spread, and doubling time during the course of the COVID-19 outbreak whilst accounting for potential biases due to delays in case reporting in Angiang. These results are impacted by changes in testing effort, increases and decreases in testing effort will increase and decrease reproduction number estimates respectively.

Estimates for Bacgiang (Vietnam)

Vietnam

Identifying changes in the reproduction number, rate of spread, and doubling time during the course of the COVID-19 outbreak whilst accounting for potential biases due to delays in case reporting in Bacgiang. These results are impacted by changes in testing effort, increases and decreases in testing effort will increase and decrease reproduction number estimates respectively.

Estimates for Backan (Vietnam)

Vietnam

Identifying changes in the reproduction number, rate of spread, and doubling time during the course of the COVID-19 outbreak whilst accounting for potential biases due to delays in case reporting in Backan. These results are impacted by changes in testing effort, increases and decreases in testing effort will increase and decrease reproduction number estimates respectively.

Estimates for Baclieu (Vietnam)

Vietnam

Identifying changes in the reproduction number, rate of spread, and doubling time during the course of the COVID-19 outbreak whilst accounting for potential biases due to delays in case reporting in Baclieu. These results are impacted by changes in testing effort, increases and decreases in testing effort will increase and decrease reproduction number estimates respectively.

Estimates for Bacninh (Vietnam)

Vietnam

Identifying changes in the reproduction number, rate of spread, and doubling time during the course of the COVID-19 outbreak whilst accounting for potential biases due to delays in case reporting in Bacninh. These results are impacted by changes in testing effort, increases and decreases in testing effort will increase and decrease reproduction number estimates respectively.

Estimates for Bariavungtau (Vietnam)

Vietnam

Identifying changes in the reproduction number, rate of spread, and doubling time during the course of the COVID-19 outbreak whilst accounting for potential biases due to delays in case reporting in Bariavungtau. These results are impacted by changes in testing effort, increases and decreases in testing effort will increase and decrease reproduction number estimates respectively.

Estimates for Bentre (Vietnam)

Vietnam

Identifying changes in the reproduction number, rate of spread, and doubling time during the course of the COVID-19 outbreak whilst accounting for potential biases due to delays in case reporting in Bentre. These results are impacted by changes in testing effort, increases and decreases in testing effort will increase and decrease reproduction number estimates respectively.

Estimates for Binhdinh (Vietnam)

Vietnam

Identifying changes in the reproduction number, rate of spread, and doubling time during the course of the COVID-19 outbreak whilst accounting for potential biases due to delays in case reporting in Binhdinh. These results are impacted by changes in testing effort, increases and decreases in testing effort will increase and decrease reproduction number estimates respectively.

Estimates for Binhduong (Vietnam)

Vietnam

Identifying changes in the reproduction number, rate of spread, and doubling time during the course of the COVID-19 outbreak whilst accounting for potential biases due to delays in case reporting in Binhduong. These results are impacted by changes in testing effort, increases and decreases in testing effort will increase and decrease reproduction number estimates respectively.

Estimates for Binhphuoc (Vietnam)

Vietnam

Identifying changes in the reproduction number, rate of spread, and doubling time during the course of the COVID-19 outbreak whilst accounting for potential biases due to delays in case reporting in Binhphuoc. These results are impacted by changes in testing effort, increases and decreases in testing effort will increase and decrease reproduction number estimates respectively.

Estimates for Binhthuan (Vietnam)

Vietnam

Identifying changes in the reproduction number, rate of spread, and doubling time during the course of the COVID-19 outbreak whilst accounting for potential biases due to delays in case reporting in Binhthuan. These results are impacted by changes in testing effort, increases and decreases in testing effort will increase and decrease reproduction number estimates respectively.

Estimates for Camau (Vietnam)

Vietnam

Identifying changes in the reproduction number, rate of spread, and doubling time during the course of the COVID-19 outbreak whilst accounting for potential biases due to delays in case reporting in Camau. These results are impacted by changes in testing effort, increases and decreases in testing effort will increase and decrease reproduction number estimates respectively.

Estimates for Cantho (Vietnam)

Vietnam

Identifying changes in the reproduction number, rate of spread, and doubling time during the course of the COVID-19 outbreak whilst accounting for potential biases due to delays in case reporting in Cantho. These results are impacted by changes in testing effort, increases and decreases in testing effort will increase and decrease reproduction number estimates respectively.

Estimates for Caobang (Vietnam)

Vietnam

Identifying changes in the reproduction number, rate of spread, and doubling time during the course of the COVID-19 outbreak whilst accounting for potential biases due to delays in case reporting in Caobang. These results are impacted by changes in testing effort, increases and decreases in testing effort will increase and decrease reproduction number estimates respectively.

Estimates for Daklak (Vietnam)

Vietnam

Identifying changes in the reproduction number, rate of spread, and doubling time during the course of the COVID-19 outbreak whilst accounting for potential biases due to delays in case reporting in Daklak. These results are impacted by changes in testing effort, increases and decreases in testing effort will increase and decrease reproduction number estimates respectively.

Estimates for Daknong (Vietnam)

Vietnam

Identifying changes in the reproduction number, rate of spread, and doubling time during the course of the COVID-19 outbreak whilst accounting for potential biases due to delays in case reporting in Daknong. These results are impacted by changes in testing effort, increases and decreases in testing effort will increase and decrease reproduction number estimates respectively.

Estimates for Danang (Vietnam)

Vietnam

Identifying changes in the reproduction number, rate of spread, and doubling time during the course of the COVID-19 outbreak whilst accounting for potential biases due to delays in case reporting in Danang. These results are impacted by changes in testing effort, increases and decreases in testing effort will increase and decrease reproduction number estimates respectively.

Estimates for Dienbien (Vietnam)

Vietnam

Identifying changes in the reproduction number, rate of spread, and doubling time during the course of the COVID-19 outbreak whilst accounting for potential biases due to delays in case reporting in Dienbien. These results are impacted by changes in testing effort, increases and decreases in testing effort will increase and decrease reproduction number estimates respectively.

Estimates for Dongnai (Vietnam)

Vietnam

Identifying changes in the reproduction number, rate of spread, and doubling time during the course of the COVID-19 outbreak whilst accounting for potential biases due to delays in case reporting in Dongnai. These results are impacted by changes in testing effort, increases and decreases in testing effort will increase and decrease reproduction number estimates respectively.

Estimates for Dongthap (Vietnam)

Vietnam

Identifying changes in the reproduction number, rate of spread, and doubling time during the course of the COVID-19 outbreak whilst accounting for potential biases due to delays in case reporting in Dongthap. These results are impacted by changes in testing effort, increases and decreases in testing effort will increase and decrease reproduction number estimates respectively.

Estimates for Gialai (Vietnam)

Vietnam

Identifying changes in the reproduction number, rate of spread, and doubling time during the course of the COVID-19 outbreak whilst accounting for potential biases due to delays in case reporting in Gialai. These results are impacted by changes in testing effort, increases and decreases in testing effort will increase and decrease reproduction number estimates respectively.

Estimates for Hagiang (Vietnam)

Vietnam

Identifying changes in the reproduction number, rate of spread, and doubling time during the course of the COVID-19 outbreak whilst accounting for potential biases due to delays in case reporting in Hagiang. These results are impacted by changes in testing effort, increases and decreases in testing effort will increase and decrease reproduction number estimates respectively.

Estimates for Haiduong (Vietnam)

Vietnam

Identifying changes in the reproduction number, rate of spread, and doubling time during the course of the COVID-19 outbreak whilst accounting for potential biases due to delays in case reporting in Haiduong. These results are impacted by changes in testing effort, increases and decreases in testing effort will increase and decrease reproduction number estimates respectively.

Estimates for Haiphong (Vietnam)

Vietnam

Identifying changes in the reproduction number, rate of spread, and doubling time during the course of the COVID-19 outbreak whilst accounting for potential biases due to delays in case reporting in Haiphong. These results are impacted by changes in testing effort, increases and decreases in testing effort will increase and decrease reproduction number estimates respectively.

Estimates for Hanam (Vietnam)

Vietnam

Identifying changes in the reproduction number, rate of spread, and doubling time during the course of the COVID-19 outbreak whilst accounting for potential biases due to delays in case reporting in Hanam. These results are impacted by changes in testing effort, increases and decreases in testing effort will increase and decrease reproduction number estimates respectively.

Estimates for Hanoi (Vietnam)

Vietnam

Identifying changes in the reproduction number, rate of spread, and doubling time during the course of the COVID-19 outbreak whilst accounting for potential biases due to delays in case reporting in Hanoi. These results are impacted by changes in testing effort, increases and decreases in testing effort will increase and decrease reproduction number estimates respectively.

Estimates for Hatinh (Vietnam)

Vietnam

Identifying changes in the reproduction number, rate of spread, and doubling time during the course of the COVID-19 outbreak whilst accounting for potential biases due to delays in case reporting in Hatinh. These results are impacted by changes in testing effort, increases and decreases in testing effort will increase and decrease reproduction number estimates respectively.

Estimates for Haugiang (Vietnam)

Vietnam

Identifying changes in the reproduction number, rate of spread, and doubling time during the course of the COVID-19 outbreak whilst accounting for potential biases due to delays in case reporting in Haugiang. These results are impacted by changes in testing effort, increases and decreases in testing effort will increase and decrease reproduction number estimates respectively.

Estimates for Hoabinh (Vietnam)

Vietnam

Identifying changes in the reproduction number, rate of spread, and doubling time during the course of the COVID-19 outbreak whilst accounting for potential biases due to delays in case reporting in Hoabinh. These results are impacted by changes in testing effort, increases and decreases in testing effort will increase and decrease reproduction number estimates respectively.

Estimates for Hochiminh (Vietnam)

Vietnam

Identifying changes in the reproduction number, rate of spread, and doubling time during the course of the COVID-19 outbreak whilst accounting for potential biases due to delays in case reporting in Hochiminh. These results are impacted by changes in testing effort, increases and decreases in testing effort will increase and decrease reproduction number estimates respectively.

Estimates for Hue (Vietnam)

Vietnam

Identifying changes in the reproduction number, rate of spread, and doubling time during the course of the COVID-19 outbreak whilst accounting for potential biases due to delays in case reporting in Hue. These results are impacted by changes in testing effort, increases and decreases in testing effort will increase and decrease reproduction number estimates respectively.

Estimates for Hungyen (Vietnam)

Vietnam

Identifying changes in the reproduction number, rate of spread, and doubling time during the course of the COVID-19 outbreak whilst accounting for potential biases due to delays in case reporting in Hungyen. These results are impacted by changes in testing effort, increases and decreases in testing effort will increase and decrease reproduction number estimates respectively.

Estimates for Khanhhoa (Vietnam)

Vietnam

Identifying changes in the reproduction number, rate of spread, and doubling time during the course of the COVID-19 outbreak whilst accounting for potential biases due to delays in case reporting in Khanhhoa. These results are impacted by changes in testing effort, increases and decreases in testing effort will increase and decrease reproduction number estimates respectively.

Estimates for Kiengiang (Vietnam)

Vietnam

Identifying changes in the reproduction number, rate of spread, and doubling time during the course of the COVID-19 outbreak whilst accounting for potential biases due to delays in case reporting in Kiengiang. These results are impacted by changes in testing effort, increases and decreases in testing effort will increase and decrease reproduction number estimates respectively.

Estimates for Kontum (Vietnam)

Vietnam

Identifying changes in the reproduction number, rate of spread, and doubling time during the course of the COVID-19 outbreak whilst accounting for potential biases due to delays in case reporting in Kontum. These results are impacted by changes in testing effort, increases and decreases in testing effort will increase and decrease reproduction number estimates respectively.

Estimates for Laichau (Vietnam)

Vietnam

Identifying changes in the reproduction number, rate of spread, and doubling time during the course of the COVID-19 outbreak whilst accounting for potential biases due to delays in case reporting in Laichau. These results are impacted by changes in testing effort, increases and decreases in testing effort will increase and decrease reproduction number estimates respectively.

Estimates for Lamdong (Vietnam)

Vietnam

Identifying changes in the reproduction number, rate of spread, and doubling time during the course of the COVID-19 outbreak whilst accounting for potential biases due to delays in case reporting in Lamdong. These results are impacted by changes in testing effort, increases and decreases in testing effort will increase and decrease reproduction number estimates respectively.

Estimates for Langson (Vietnam)

Vietnam

Identifying changes in the reproduction number, rate of spread, and doubling time during the course of the COVID-19 outbreak whilst accounting for potential biases due to delays in case reporting in Langson. These results are impacted by changes in testing effort, increases and decreases in testing effort will increase and decrease reproduction number estimates respectively.

Estimates for Laocai (Vietnam)

Vietnam

Identifying changes in the reproduction number, rate of spread, and doubling time during the course of the COVID-19 outbreak whilst accounting for potential biases due to delays in case reporting in Laocai. These results are impacted by changes in testing effort, increases and decreases in testing effort will increase and decrease reproduction number estimates respectively.

Estimates for Longan (Vietnam)

Vietnam

Identifying changes in the reproduction number, rate of spread, and doubling time during the course of the COVID-19 outbreak whilst accounting for potential biases due to delays in case reporting in Longan. These results are impacted by changes in testing effort, increases and decreases in testing effort will increase and decrease reproduction number estimates respectively.

Estimates for Namdinh (Vietnam)

Vietnam

Identifying changes in the reproduction number, rate of spread, and doubling time during the course of the COVID-19 outbreak whilst accounting for potential biases due to delays in case reporting in Namdinh. These results are impacted by changes in testing effort, increases and decreases in testing effort will increase and decrease reproduction number estimates respectively.

Estimates for Nghean (Vietnam)

Vietnam

Identifying changes in the reproduction number, rate of spread, and doubling time during the course of the COVID-19 outbreak whilst accounting for potential biases due to delays in case reporting in Nghean. These results are impacted by changes in testing effort, increases and decreases in testing effort will increase and decrease reproduction number estimates respectively.

Estimates for Ninhbinh (Vietnam)

Vietnam

Identifying changes in the reproduction number, rate of spread, and doubling time during the course of the COVID-19 outbreak whilst accounting for potential biases due to delays in case reporting in Ninhbinh. These results are impacted by changes in testing effort, increases and decreases in testing effort will increase and decrease reproduction number estimates respectively.

Estimates for Ninhthuan (Vietnam)

Vietnam

Identifying changes in the reproduction number, rate of spread, and doubling time during the course of the COVID-19 outbreak whilst accounting for potential biases due to delays in case reporting in Ninhthuan. These results are impacted by changes in testing effort, increases and decreases in testing effort will increase and decrease reproduction number estimates respectively.

Estimates for Phutho (Vietnam)

Vietnam

Identifying changes in the reproduction number, rate of spread, and doubling time during the course of the COVID-19 outbreak whilst accounting for potential biases due to delays in case reporting in Phutho. These results are impacted by changes in testing effort, increases and decreases in testing effort will increase and decrease reproduction number estimates respectively.

Estimates for Phuyen (Vietnam)

Vietnam

Identifying changes in the reproduction number, rate of spread, and doubling time during the course of the COVID-19 outbreak whilst accounting for potential biases due to delays in case reporting in Phuyen. These results are impacted by changes in testing effort, increases and decreases in testing effort will increase and decrease reproduction number estimates respectively.

Estimates for Quangbinh (Vietnam)

Vietnam

Identifying changes in the reproduction number, rate of spread, and doubling time during the course of the COVID-19 outbreak whilst accounting for potential biases due to delays in case reporting in Quangbinh. These results are impacted by changes in testing effort, increases and decreases in testing effort will increase and decrease reproduction number estimates respectively.

Estimates for Quangnam (Vietnam)

Vietnam

Identifying changes in the reproduction number, rate of spread, and doubling time during the course of the COVID-19 outbreak whilst accounting for potential biases due to delays in case reporting in Quangnam. These results are impacted by changes in testing effort, increases and decreases in testing effort will increase and decrease reproduction number estimates respectively.

Estimates for Quangngai (Vietnam)

Vietnam

Identifying changes in the reproduction number, rate of spread, and doubling time during the course of the COVID-19 outbreak whilst accounting for potential biases due to delays in case reporting in Quangngai. These results are impacted by changes in testing effort, increases and decreases in testing effort will increase and decrease reproduction number estimates respectively.

Estimates for Quangninh (Vietnam)

Vietnam

Identifying changes in the reproduction number, rate of spread, and doubling time during the course of the COVID-19 outbreak whilst accounting for potential biases due to delays in case reporting in Quangninh. These results are impacted by changes in testing effort, increases and decreases in testing effort will increase and decrease reproduction number estimates respectively.

Estimates for Quangtri (Vietnam)

Vietnam

Identifying changes in the reproduction number, rate of spread, and doubling time during the course of the COVID-19 outbreak whilst accounting for potential biases due to delays in case reporting in Quangtri. These results are impacted by changes in testing effort, increases and decreases in testing effort will increase and decrease reproduction number estimates respectively.

Estimates for Soctrang (Vietnam)

Vietnam

Identifying changes in the reproduction number, rate of spread, and doubling time during the course of the COVID-19 outbreak whilst accounting for potential biases due to delays in case reporting in Soctrang. These results are impacted by changes in testing effort, increases and decreases in testing effort will increase and decrease reproduction number estimates respectively.

Estimates for Sonla (Vietnam)

Vietnam

Identifying changes in the reproduction number, rate of spread, and doubling time during the course of the COVID-19 outbreak whilst accounting for potential biases due to delays in case reporting in Sonla. These results are impacted by changes in testing effort, increases and decreases in testing effort will increase and decrease reproduction number estimates respectively.

Estimates for Tayninh (Vietnam)

Vietnam

Identifying changes in the reproduction number, rate of spread, and doubling time during the course of the COVID-19 outbreak whilst accounting for potential biases due to delays in case reporting in Tayninh. These results are impacted by changes in testing effort, increases and decreases in testing effort will increase and decrease reproduction number estimates respectively.

Estimates for Thaibinh (Vietnam)

Vietnam

Identifying changes in the reproduction number, rate of spread, and doubling time during the course of the COVID-19 outbreak whilst accounting for potential biases due to delays in case reporting in Thaibinh. These results are impacted by changes in testing effort, increases and decreases in testing effort will increase and decrease reproduction number estimates respectively.

Estimates for Thainguyen (Vietnam)

Vietnam

Identifying changes in the reproduction number, rate of spread, and doubling time during the course of the COVID-19 outbreak whilst accounting for potential biases due to delays in case reporting in Thainguyen. These results are impacted by changes in testing effort, increases and decreases in testing effort will increase and decrease reproduction number estimates respectively.

Estimates for Thanhhoa (Vietnam)

Vietnam

Identifying changes in the reproduction number, rate of spread, and doubling time during the course of the COVID-19 outbreak whilst accounting for potential biases due to delays in case reporting in Thanhhoa. These results are impacted by changes in testing effort, increases and decreases in testing effort will increase and decrease reproduction number estimates respectively.

Estimates for Thuathienhue (Vietnam)

Vietnam

Identifying changes in the reproduction number, rate of spread, and doubling time during the course of the COVID-19 outbreak whilst accounting for potential biases due to delays in case reporting in Thuathienhue. These results are impacted by changes in testing effort, increases and decreases in testing effort will increase and decrease reproduction number estimates respectively.

Estimates for Tiengiang (Vietnam)

Vietnam

Identifying changes in the reproduction number, rate of spread, and doubling time during the course of the COVID-19 outbreak whilst accounting for potential biases due to delays in case reporting in Tiengiang. These results are impacted by changes in testing effort, increases and decreases in testing effort will increase and decrease reproduction number estimates respectively.

Estimates for Travinh (Vietnam)

Vietnam

Identifying changes in the reproduction number, rate of spread, and doubling time during the course of the COVID-19 outbreak whilst accounting for potential biases due to delays in case reporting in Travinh. These results are impacted by changes in testing effort, increases and decreases in testing effort will increase and decrease reproduction number estimates respectively.

Estimates for Tuyenquang (Vietnam)

Vietnam

Identifying changes in the reproduction number, rate of spread, and doubling time during the course of the COVID-19 outbreak whilst accounting for potential biases due to delays in case reporting in Tuyenquang. These results are impacted by changes in testing effort, increases and decreases in testing effort will increase and decrease reproduction number estimates respectively.

Estimates for Vinhlong (Vietnam)

Vietnam

Identifying changes in the reproduction number, rate of spread, and doubling time during the course of the COVID-19 outbreak whilst accounting for potential biases due to delays in case reporting in Vinhlong. These results are impacted by changes in testing effort, increases and decreases in testing effort will increase and decrease reproduction number estimates respectively.

Estimates for Vinhphuc (Vietnam)

Vietnam

Identifying changes in the reproduction number, rate of spread, and doubling time during the course of the COVID-19 outbreak whilst accounting for potential biases due to delays in case reporting in Vinhphuc. These results are impacted by changes in testing effort, increases and decreases in testing effort will increase and decrease reproduction number estimates respectively.

Estimates for Yenbai (Vietnam)

Vietnam

Identifying changes in the reproduction number, rate of spread, and doubling time during the course of the COVID-19 outbreak whilst accounting for potential biases due to delays in case reporting in Yenbai. These results are impacted by changes in testing effort, increases and decreases in testing effort will increase and decrease reproduction number estimates respectively.

More articles »

National and Subnational estimates

Corrections

If you see mistakes or want to suggest changes, please create an issue on the source repository.

Reuse

Text and figures are licensed under Creative Commons Attribution CC BY 4.0. Source code is available at https://github.com/biocyberman/covid, unless otherwise noted. The figures that have been reused from other sources don't fall under this license and can be recognized by a note in their caption: "Figure from ...".